Công thức đạo hàm là phần kiến thức nền tảng trong giải tích và toán học phổ thông.
Việc nắm vững các công thức này giúp học sinh, sinh viên dễ dàng giải các bài toán đạo hàm, tích phân, khảo sát hàm số…
Trong bài viết này, Top 10 Nhôm Kính sẽ cùng bạn tổng hợp đầy đủ các công thức đạo hàm cơ bản, mở rộng và các quy tắc tính đạo hàm thông dụng nhất.
Bài viết phù hợp cho cả học sinh THPT, ôn thi đại học, hay sinh viên cần ôn tập nhanh kiến thức nền.
1. Đạo hàm là gì?
Đạo hàm là một khái niệm trong giải tích, phản ánh tốc độ biến thiên của hàm số tại một điểm.
Hiểu đơn giản, đạo hàm đo lường độ dốc, hay sự thay đổi tức thời của hàm số.
Ví dụ:
Nếu \(y = f(x)\), thì đạo hàm của \(y\) theo \(x\) ký hiệu là \(f'(x)\) hoặc \(\frac{dy}{dx}\).
Đạo hàm có vai trò quan trọng trong:
- Khảo sát và vẽ đồ thị hàm số
- Tìm cực trị
- Tính vận tốc, gia tốc trong Vật lý
- Tối ưu hóa trong các bài toán thực tế
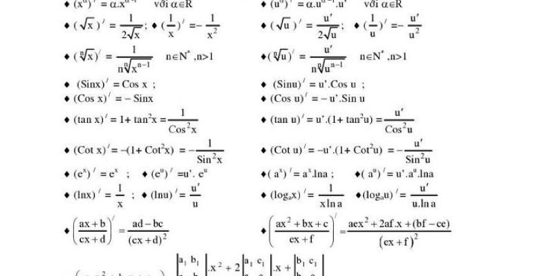
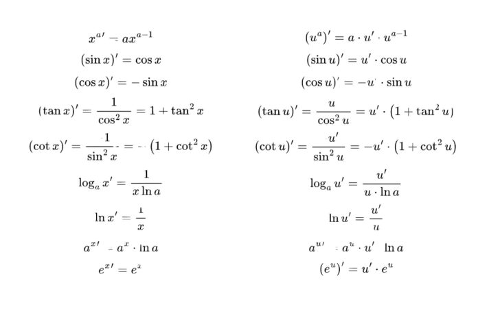
2. Các công thức đạo hàm cơ bản

✳️ Đạo hàm của các hàm số sơ cấp
| Hàm số | Đạo hàm |
|---|---|
| \(f(x) = c\) (hằng số) | \(f'(x) = 0\) |
| \(f(x) = x\) | \(f'(x) = 1\) |
| \(f(x) = x^n\) | \(f'(x) = n x^{n-1}\) |
| \(f(x) = \sqrt{x}\) | \(f'(x) = \frac{1}{2\sqrt{x}}\) |
| \(f(x) = \frac{1}{x}\) | \(f'(x) = -\frac{1}{x^2}\) |
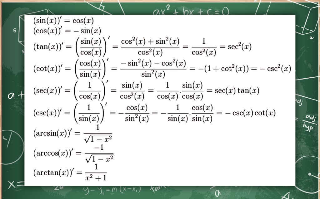
✳️ Đạo hàm của các hàm lượng giác
| Hàm số | Đạo hàm |
|---|---|
| \(\sin x\) | \(\cos x\) |
| \(\cos x\) | \(-\sin x\) |
| \(\tan x\) | \(\frac{1}{\cos^2 x}\) |
| \(\cot x\) | \(-\frac{1}{\sin^2 x}\) |
✳️ Đạo hàm của hàm số mũ và logarit
| Hàm số | Đạo hàm |
|---|---|
| \(e^x\) | \(e^x\) |
| \(a^x\) | \(a^x \ln a\) |
| \(\ln x\) | \(\frac{1}{x}\) |
| \(\log_a x\) | \(\frac{1}{x \ln a}\) |
3. Các quy tắc tính đạo hàm quan trọng
Để tính đạo hàm chính xác, bạn cần nắm vững các quy tắc đạo hàm sau:
✅ Quy tắc cộng:
(f(x) + g(x))’ = f'(x) + g'(x)
\]
✅ Quy tắc nhân:
(f(x) \cdot g(x))’ = f'(x)g(x) + f(x)g'(x)
\]
✅ Quy tắc chia:
\left( \frac{f(x)}{g(x)} \right)’ = \frac{f'(x)g(x) – f(x)g'(x)}{[g(x)]^2}
\]
✅ Quy tắc hàm hợp (Chain rule):
(f(g(x)))’ = f'(g(x)) \cdot g'(x)
\]
Đây là quy tắc quan trọng giúp xử lý các hàm dạng lồng nhau như \(\sin(x^2)\), \(\ln(\sqrt{x})\)…
4. Bảng công thức đạo hàm đầy đủ (Tổng hợp)

Bí quyết học nhanh: In bảng này ra hoặc dán ở góc học tập để ghi nhớ tốt hơn.
| STT | Hàm số | Đạo hàm |
|---|---|---|
| 1 | \(x^n\) | \(n x^{n-1}\) |
| 2 | \(\sqrt{x}\) | \(\frac{1}{2\sqrt{x}}\) |
| 3 | \(\frac{1}{x}\) | \(-\frac{1}{x^2}\) |
| 4 | \(\sin x\) | \(\cos x\) |
| 5 | \(\cos x\) | \(-\sin x\) |
| 6 | \(\tan x\) | \(\frac{1}{\cos^2 x}\) |
| 7 | \(e^x\) | \(e^x\) |
| 8 | \(a^x\) | \(a^x \ln a\) |
| 9 | \(\ln x\) | \(\frac{1}{x}\) |
| 10 | \(\log_a x\) | \(\frac{1}{x \ln a}\) |
5. Một số ví dụ minh họa
Ví dụ 1:
Tính đạo hàm của \(y = x^3 + 2x^2 – x + 5\)
Giải:
y’ = 3x^2 + 4x – 1
\]
Ví dụ 2:
Tính đạo hàm của \(y = \ln(\sqrt{x})\)
Giải:
y’ = \frac{1}{\sqrt{x}} \cdot \frac{1}{2\sqrt{x}} = \frac{1}{2x}
\]
Ví dụ 3:
Tính đạo hàm của \(y = e^{x^2}\)
Giải:
Áp dụng đạo hàm hàm hợp:
y’ = e^{x^2} \cdot 2x
\]
6. Mẹo học và ghi nhớ công thức đạo hàm hiệu quả
- Học theo nhóm công thức (đa thức, lượng giác, log, mũ)
- Viết lại công thức mỗi ngày 1 lần trong 7 ngày
- Áp dụng vào bài tập thực tế để ghi nhớ lâu hơn
- Sử dụng flashcard hoặc app học toán thông minh
- Xem video minh họa cách tính đạo hàm trên YouTube
Top 10 Nhôm Kính không chỉ là thương hiệu cung cấp giải pháp nhôm kính uy tín, mà còn luôn đồng hành cùng bạn trong các lĩnh vực giáo dục và kiến thức nền tảng như toán học, giúp bạn học dễ – hiểu sâu – nhớ lâu.
7. Tải bảng công thức đạo hàm PDF miễn phí

Bạn có thể tải bảng công thức đạo hàm PDF chuẩn để in ra ôn luyện tại nhà hoặc mang theo khi ôn thi.
Bảng được thiết kế rõ ràng, dễ nhìn, có thể dùng làm tài liệu tham khảo trong quá trình học toán, luyện thi.
8. Kết luận
Việc nắm vững công thức đạo hàm là điều bắt buộc nếu bạn muốn giỏi Toán giải tích, làm tốt các bài kiểm tra, đề thi học kỳ, hoặc thi THPT quốc gia.
Hy vọng bài viết từ Top 10 Nhôm Kính đã cung cấp cho bạn kiến thức đầy đủ, cô đọng, dễ hiểu và dễ áp dụng.
Hãy lưu lại bài viết này hoặc chia sẻ cho bạn bè cùng học nhé!
